| 일 | 월 | 화 | 수 | 목 | 금 | 토 |
|---|---|---|---|---|---|---|
| 1 | 2 | 3 | 4 | 5 | 6 | 7 |
| 8 | 9 | 10 | 11 | 12 | 13 | 14 |
| 15 | 16 | 17 | 18 | 19 | 20 | 21 |
| 22 | 23 | 24 | 25 | 26 | 27 | 28 |
- JavaScript
- 코드스테이츠
- 블록체인
- select
- 개발자_조이킴
- Programmers
- 정규표현식
- join
- for문
- array.slice()
- 알고리즘
- 코딩테스트
- 코플릿
- MySQL
- 프로그래머스
- 재귀함수
- Algorithms
- SQL
- 자바스크립트
- Developer_JoyKim
- Where
- 최강의 인생
- 배열
- 역행자
- 개발자의 책장
- 코딩공부
- array.push()
- Hackerrank
- array
- node.js
- Today
- Total
CodingSpace
[BFS] 가장 먼 노드 본문
Problem. 가장 먼 노드

Link.
https://school.programmers.co.kr/learn/courses/30/lessons/49189
프로그래머스
코드 중심의 개발자 채용. 스택 기반의 포지션 매칭. 프로그래머스의 개발자 맞춤형 프로필을 등록하고, 나와 기술 궁합이 잘 맞는 기업들을 매칭 받으세요.
programmers.co.kr
Problem.
n개의 노드가 있는 그래프가 있습니다.
각 노드는 1부터 n까지 번호가 적혀있습니다.
1번 노드에서 가장 멀리 떨어진 노드의 갯수를 구하려고 합니다.
가장 멀리 떨어진 노드란 최단경로로 이동했을 때 간선의 개수가 가장 많은 노드를 의미합니다.
노드의 개수 n, 간선에 대한 정보가 담긴 2차원 배열 vertex가 매개변수로 주어질 때,
1번 노드로부터 가장 멀리 떨어진 노드가 몇 개인지를 return 하도록 solution 함수를 작성하시오.
제한사항
1. 노드의 개수 n은 2 이상 20,000 이하 입니다
2. 간선은 양방향이며 총 1개 이상 50,000개 이하의 간선이 있습니다
3. vertex 배열 각 행 [a, b]는 a번 노드와 b번 노드 사이에 간선이 있다는 의미입니다
입출력 예시
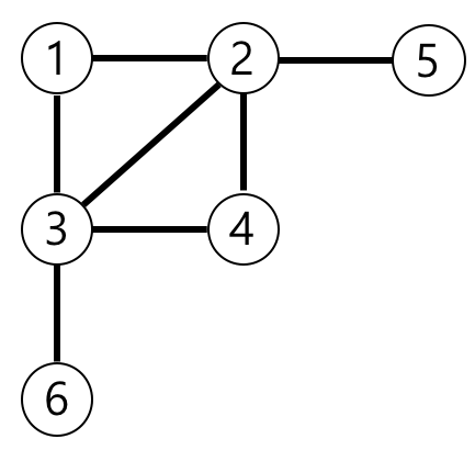
// case#1
n = 6;
vertex = [[3, 6], [4, 3], [3, 2], [1, 3], [1, 2], [2, 4], [5, 2]];
return = 3;

In Details.
Case#1
n = 6, vertex = [[3, 6], [4, 3], [3, 2], [1, 3], [1, 2], [2, 4], [5, 2]]
Code#1. 각 노드의 간선 정보를 담을 배열
let graph = Array.from(Array(n + 1), () => []);
// -- description --
n = 6인 경우
Array.from(Array(7), () => []);
[[], [], [], [], [], [], []]
Code#2. 각 노드에 간선을 연결시킨다
for (let [head, rear] of edge) {
graph[head].push(rear);
graph[rear].push(head);
}
// -- description --
edge = [[3, 6], [4, 3], [3, 2], [1, 3], [1, 2], [2, 4], [5, 2]]
Iteration #1
[3, 6] -> head = 3, rear = 6
graph[3].push(6)
graph[6].push(3)
[[], [], [], [6], [], [], [3]]
Iteration #2
[4, 3] -> head = 4, rear = 3
graph[4].push(3)
graph[3].push(4)
[[], [], [], [6, 4], [3], [], [3]]
Iteration #3
[3, 2] -> head = 3, rear = 2
graph[3].push(2)
graph[2].push(3)
[[], [], [3], [6, 4, 2], [3], [], [3]]
Iteration #4
[1, 3] -> head = 1, rear = 3
graph[1].push(3)
graph[3].push(1)
[[], [3], [3], [6, 4, 2, 1], [3], [], [3]]
Iteration #5
[1, 2] -> head = 1, rear = 2
graph[1].push(2)
graph[2].push(1)
[[], [3, 2], [3, 1], [6, 4, 2, 1], [3], [], [3]]
Iteration #6
[2, 4] -> head = 2, rear = 4
graph[2].push(4)
graph[4].push(2)
[[], [3, 2], [3, 1, 4], [6, 4, 2, 1], [3, 2], [], [3]]
Iteration #7
[5, 2] -> head = 5, rear = 2
graph[5].push(2)
graph[2].push(5)
[[], [3, 2], [3, 1, 4, 5], [6, 4, 2, 1], [3, 2], [2], [3]]
Code#3. 길이 정보를 세팅한 후, 노드 1의 길이를 1로 초기화
let length = Array(n + 1).fill(0);
length[1] = 1;
// -- description --
n = 6인 경우
Array(7).fill(0);
[0, 0, 0, 0, 0, 0, 0]
length[1] = 1;
[0, 1, 0, 0, 0, 0, 0]
Code#4. 큐에 1을 담고, 노드 1부터 순회
let queue[1] = 1;
while (queue.length > 0) {
let src = queue.shift();
for (let node of graph[src]) {
if (length[node] === 0) {
queue.push(node);
length[node] = length[src] + 1;
}
}
}
// -- description --
Code#5. 최대 길이를 찾은 후, 최대 길이가 몇개 인지 반환
let max = Math.max(...length)
return length.filter((el) => el === max).length;
// -- description
max = 3;
length.filter((el) => el === max) => [3, 3, 3]
[3, 3, 3].length => 3
return 3;
My Answer.
function solution(n, edge) {
let graph = Array.from(Array(n + 1), () => []);
// 그래프를 만들어준다
// graph[1] = [2, 3]
// graph[2] = [1, 4, 5]
for (const [from, to] of edge) {
graph[from].push(to);
graph[to].push(from);
}
let distance = Array(n + 1).fill(0);
distance[1] = 1;
let queue = [1];
while (queue.length > 0) {
let src = queue.shift();
for (const dest of graph[src]) {
if (distance[dest] === 0) {
queue.push(dest);
distance[dest] = distance[src] + 1;
}
}
}
// 가장 먼 노드의 길이를 계산
let max = Math.max(...distance);
return distance.filter((el) => el === max).length;
}
References.
- 코딩테스트 광탈 방지 A to Z : JavaScript (이선협)
- Array.from() : https://developer.mozilla.org/ko/docs/Web/JavaScript/Reference/Global_Objects/Array/from
Array.from() - JavaScript | MDN
Array.from() 메서드는 유사 배열 객체(array-like object)나 반복 가능한 객체(iterable object)를 얕게 복사해 새로운Array 객체를 만듭니다.
developer.mozilla.org
For Developer.
- 잘못되거나 부족한 부분이 있다면 언제든지 댓글 부탁드립니다 :)
'프로그래머스 > Level3' 카테고리의 다른 글
| [이진 탐색] 입국심사 (0) | 2023.05.06 |
|---|---|
| [해시] 베스트앨범 (0) | 2023.04.21 |
| 여행경로 (0) | 2022.09.13 |